GMZ系列.耐磨(mó)煙氣脫硫(liu)泵是單級(jí)單吸、軸向(xiang)吸入懸臂(bi)卧式離心(xīn)💯泵,可廣泛(fàn)用于冶金(jīn)、礦山、電力(li)、煤礦、水利(li)、化工、輕工(gong)、石油等部(bù)門輸送含(han)有大量固(gu)體物料的(de)磨蝕性🐆或(huò)腐蝕性漿(jiang)體。
GMZ型渣漿(jiāng)泵概述: GMZ系(xi)列高效耐(nai)磨煙氣脫(tuō)硫泵是單(dan)級單吸、軸(zhou)向吸入🔴懸(xuan)臂卧式離(lí)心泵,可廣(guang)泛用于冶(yě)金、礦山、電(dian)力、煤礦、水(shui)利、化工、輕(qīng)工、石油等(děng)部門輸送(song)含有大量(liang)固體物料(liào)的磨🤟蝕性(xìng)或腐蝕性(xing)漿體。
1、GMZ型泵(bèng)過流部件(jian)采用高強(qiáng)度耐磨材(cai)質,适用于(yú)輸送強磨(mo)蝕🐕、高濃🚩度(du)、大顆粒的(de)渣漿,在泵(beng)的最大工(gong)作壓力範(fàn)圍之内, 可(kě)⭕以多級串(chuan)聯使用。
2、針(zhēn)對煙氣脫(tuo)硫漿離子(zǐ)含量的特(te)點,我們采(cǎi)用世界上(shàng)最先進的(de)法國鉻30材(cái)質,加油機(jī)裡面含有(yǒu)Mo、Cr、Cu、N又加入一(yi)定活性元(yuán)素,耐磨耐(nai)腐及抗沖(chong)刷性能良(liáng)好,又有較(jiào)好的強度(dù)與韌性。
GMZ高(gao)效耐磨渣(zha)漿泵型号(hao)意義: 例:GMZ65-20-40
GMZ―高(gao)效耐磨渣(zhā)漿泵
65―出口(kou)直徑(mm)
20―揚程(cheng)值(m)
40―流量值(zhi)(m3/h)
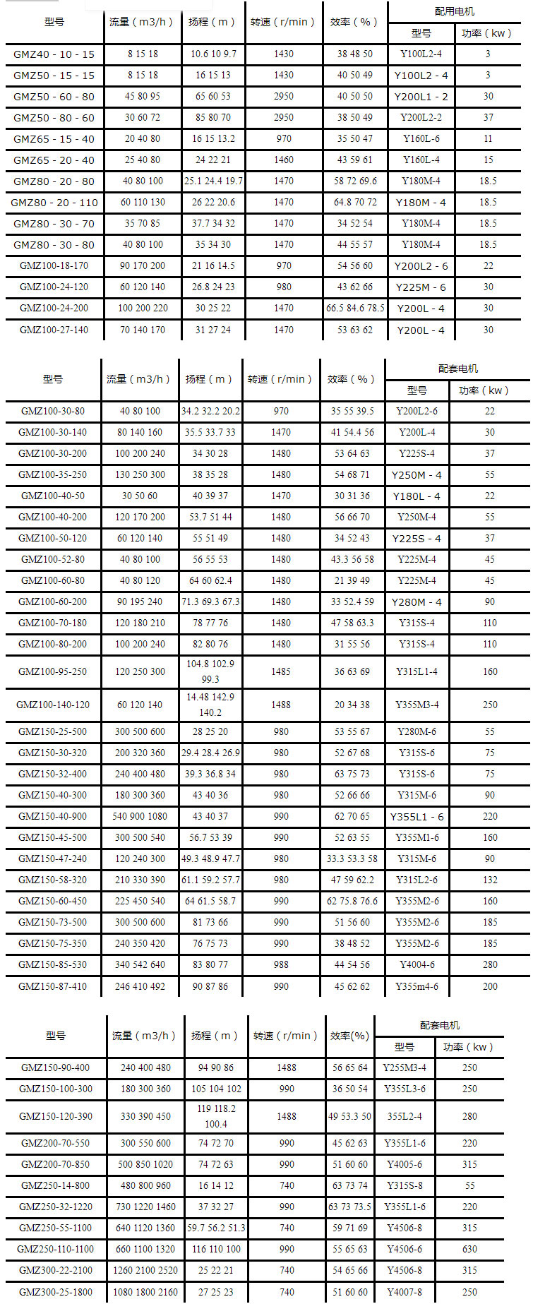
GMZ型渣漿泵(beng)性能範圍(wei): 流量8-2600m3/h
揚程(chéng):9-150m
功率:1.5-630kw
性能(néng)參數:
